核心要点
- Excel手动计算偏度需要掌握
SKEW()等函数技术知识或复杂的数据分析工具包设置 - 匡优Excel支持使用自然语言进行即时偏度分析——无需公式或统计专业知识
- 理解数据偏度有助于识别业务洞察,如客户等待时间模式或销售分布异常
- 人工智能驱动的分析为需要快速获取数据洞察的市场、销售和运营人员节省时间并减少错误
理解数据偏度是任何分析项目中的关键步骤。它有助于识别潜在的异常值或异常情况,这些可能表明数据质量问题或需要进一步调查的领域。偏度还能揭示数据的不对称性,这会影响统计方法和下游模型的选择。
本教程将介绍偏度的概念、数学定义以及数据分布中不同类型的偏度。通过一个简单的现实案例,我们将使用传统Microsoft Excel方法和现代AI驱动方法分别计算偏度并进行比较。如果您在本教程结束后希望进一步扩展技能,请考虑学习我们的Excel数据分析课程。
快速解答:如何在Excel中计算偏度
要快速计算Excel中的偏度,可使用SKEW()函数(针对样本)或SKEW.P()函数(针对整体总体)。
请按以下步骤操作:
- 将数据输入单列
- 在新单元格中输入
=SKEW(范围)或=SKEW.P(范围),其中范围是数据单元格区域 - 按Enter键获取偏度值。偏度以单个数字表示

使用SKEW()函数计算偏度。作者供图
虽然这是最快的手动方法,但如今AI驱动工具能更直观地执行此分析,只需用自然语言提问即可。我们将在本指南后面探讨这种方法。
什么是偏度?
偏度是衡量分布不对称性的统计指标。它指示数据点是否更倾向于落在均值的一侧。
它被视为分布的第三矩:
- 中心(第一矩): 数据的平均值,提供典型值的度量
- 离散度(第二矩): 数据的变异性,量化数据点偏离均值的程度
- 偏度(第三矩): 数据分布围绕其均值的不对称性
- 峰度(第四矩): 数据分布的“尾重”或尖峰度,提供尾部权重的洞察
偏态分布
根据偏度系数为正、负或零,偏度分为三种类型。

偏态分布。来源:维基百科
- 正偏度(右偏): 分布右侧的尾部比左侧长。大多数数据点集中在左侧。均值通常大于中位数
- 零偏度(对称分布): 分布完全对称。两侧尾部平衡,均值和中位数相等
- 负偏度(左偏): 分布左侧的尾部比右侧长。数据点集中在右侧。均值通常小于中位数
虽然偏度关注分布的展布(尾部),但另一个统计指标——峰度更关注高度和尖峰度。借助匡优Excel等AI工具,您只需一次查询即可轻松计算偏度和峰度,无需学习多个统计函数就能获得数据分布的完整视图。
了解概念后,让我们使用Excel为样本数据计算偏度。
Excel计算偏度的方法
假设您是一名数据分析师,负责分析某热门零售连锁店的客户等待时间。管理层怀疑长时间等待可能导致客户满意度参差不齐。为调查此事,他们收集了某门店几天内的客户等待时间样本数据。

客户等待时间数据集。作者供图
以下是计算该数据偏度指标的三种方法。
方法1:使用SKEW()函数
计算样本偏度最直接的方法是使用Excel内置的SKEW()函数。
语法很简单:
SKEW(数值1, [数值2], ...)
最多可包含255个参数,可以是单个数字或单元格区域。
对于我们的数据,我们将在某个单元格(如F2)中输入以下公式:
=SKEW(B2:B13)

使用SKEW()函数计算偏度。作者供图
按Enter键即可得到偏度系数。
偏度计算结果。作者供图
正值输出表明等待时间呈右偏分布。在解释此结果前,让我们先探索另一种方法。
方法2:使用数据分析工具包
要获取更全面的统计摘要,可使用数据分析工具包——一个Excel加载项。
如果未启用,需要先进行设置。转到文件 > 选项 > 加载项。在管理框中,选择Excel加载项并点击转到。勾选分析工具库复选框后点击确定。
启用数据分析工具包。作者供图
启用后,数据选项卡下将出现数据分析图标。
点击数据选项卡上的数据分析图标
从列表中选择描述统计并点击确定
选择描述统计。作者供图在对话框中:
- 将输入区域设置为数据范围(
$B$1:$B$13) - 勾选标志位于第一行(因选择范围包含标题)
- 选择输出区域(如单元格
$E$5) - 勾选汇总统计
填写描述统计详细信息。作者供图- 将输入区域设置为数据范围(
点击确定。Excel将生成包含偏度在内的完整描述统计表
描述统计结果。作者供图
此方法功能强大,可一次性提供偏度及其他关键指标(如均值、中位数、众数和标准差)。
方法3:使用匡优Excel的AI驱动方式

对于需要快速获取洞察又不想面对技术障碍的商业人士,AI工具如匡优Excel提供了一种革命性方法。匡优Excel是一款AI Excel助手,无需记忆公式或导航菜单即可从数据中提供即时答案和洞察。
无需公式或多步骤设置,只需用自然语言说出您的需求。
使用匡优Excel计算偏度的步骤如下:
- 上传文件: 安全上传包含客户等待时间的Excel表格

提出问题: 在聊天界面中,直接输入您的请求,例如:
“计算‘等待时间(分钟)’列的偏度”
或进行更广泛的分析:
“给我客户等待时间的描述统计摘要”

- 获取即时结果: 匡优Excel处理您的请求,立即提供偏度值及其他相关统计信息,效果类似数据分析工具包但无需任何设置。它还可能为您提供分布可视化。

这种方法完全绕过了启用加载项或记忆函数语法的需求,使复杂分析对每个人都触手可及。
方法比较
| 特性 | SKEW()函数 | 数据分析工具包 | 匡优Excel(AI助手) |
|---|---|---|---|
| 易用性 | 如果了解函数则容易使用 | 中等,需要一次性设置和菜单导航 | 非常简单,使用自然语言 |
| 速度 | 单次计算快速 | 因步骤较多而较慢 | 即时性 |
| 所需知识 | Excel函数知识(SKEW) |
Excel加载项和统计术语知识 | 无需特定Excel知识 |
| 分析范围 | 仅计算偏度 | 提供完整的描述统计摘要 | 提供完整摘要+图表+洞察 |
解读偏度结果
使用三种方法,我们得到客户等待时间的相同偏度值1.0128。这告诉我们:
- 右偏分布: 正值表明呈右偏(正偏)分布。这意味着虽然大多数等待时间较短,但存在异常高等待时间的离群值
- 均值与中位数比较: 平均等待时间(5.83分钟)高于中位数(5.5分钟)。这证实了一些显著较长的等待时间正在拉高平均值。中位数可能是衡量典型客户体验的更好指标
- 业务洞察: 众数为5分钟,即最常见的等待时间。但右偏突显了不一致性。管理层应着重了解并减少这些长等待离群值的原因,以提升整体客户满意度
如果偏度为负值,则表明呈左偏分布,意味着大多数客户经历较长的等待时间,只有少数离群值等待时间异常短。
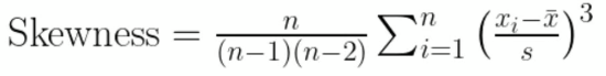
深入解析Excel偏度函数的计算原理
Excel的偏度函数计算矩偏度,即第三标准化矩。它通过比较与均值的立方偏差和标准差的立方来量化不对称性。
对于数据样本,使用的公式为:

矩偏度方程。作者供图
其中:
- n 是数据点数量
- Xi 是每个单独的数据点
- xˉ 是数据点的均值
- s 是样本标准差
SKEW()函数使用此公式,其中包含校正因子(n / ((n-1)*(n-2)))以提供样本的无偏估计。SKEW.P()函数计算整个总体的偏度,使用更简单的公式且无此校正。
扩展阅读:其他类型的偏度
虽然矩偏度最常见,但还存在其他度量方法:
- 皮尔逊偏度系数: 使用均值、众数和中位数。第二个系数(使用中位数)对离群值更具鲁棒性
- 凯利偏度度量: 基于百分位数(P10、P50、P90),关注分布的尾部
- 鲍利偏度度量: 基于四分位数(Q1、Q2、Q3),使其对极端值具有高度抵抗力
鲍利偏度方程。作者供图
最终总结
本教程向您介绍了偏度的概念,并演示了如何在Excel中计算偏度。我们涵盖了传统的SKEW()函数和全面的数据分析工具包。还探讨了现代AI工具(如匡优Excel)如何通过简单提问即可获得相同甚至更好的洞察,从而革新这一过程。
您的学习不必止步于此。匡优Excel提供全面资源,助您无需技术复杂性即可提升数据技能: 我们的简化统计教程将偏度等概念分解为实际业务应用,我们的Excel基础指南通过直观示例助您掌握基本数据操作,而我们的无公式工作流教程则展示如何使用自然语言命令而非记忆函数来获得更快结果。
准备好简化您的数据分析工作流了吗?
立即试用匡优Excel,使用简单语言命令即可获得即时偏度计算和业务洞察——无需公式或统计专业知识。
常见问题
Excel中SKEW()和SKEW.P()函数有什么区别?
SKEW()函数计算样本总体的偏度,并包含针对样本大小的校正。SKEW.P()函数计算整个总体的偏度,无需此调整。
偏度可用于识别数据中的离群值吗?
是的,偏度有助于识别潜在的离群值。远离零的值表明分布一侧存在长尾,而离群值通常位于此处。
如何解读Excel中计算的偏度值?
接近零的值表明对称分布。正值表示右偏分布(右侧有尾)。负值表示左偏分布(左侧有尾)。
为什么计算偏度时Excel显示#VALUE!错误?
如果偏度函数的范围包含非数值数据(如文本),则会出现#VALUE!错误。请确保范围内的所有单元格仅包含数字。
为什么尝试计算偏度时Excel显示#DIV/0!错误?
如果数据集中少于三个数据点,或标准差为零(所有值相同),则会出现#DIV/0!错误。您需要至少三个不同的数据点。







